一、研究背景—研究现状
随着世界范围内越来越多的涡度协方差塔的建立,净生态系统CO2交换(NEE)的测量在多尺度气候变化科学中变得越来越重要。
但由于NEE是与光合作用和呼吸相关过程中抵消通量之间的净信号,从而使利用这些数据建立的模型具有一定的争论性。
研究方法
目前使用最广泛使用的NEE划分方法是Reichstein方法,其使用夜间NEE的温度敏感度来预测白天的Reco,然后通过从NEE中减去Reco来计算GPP。然而由于夜间叶呼吸通常高于日间叶呼吸(也称为Kok效应),从而导致高估了日间Reco和GPP。
工神经网络方法(ANN)已成为划分通量建模的另一重要方法,它使用多个可变变量来预测夜间测量的白天Reco。 ANN采用非线性回归模型来估计独立变量和从属变量之间的互连,建立类似神经通路的关系网络,但由于其计算费用昂贵,因此在多个年份内难以跨多个站点运行。
研究目的
由于上述调查的通量分配方法存在多种局限性,因此需要同时进行评估和比较。 并需要大力评估和比较与其相关的不确定性。
本研究在理想的气象条件下,采用多重分割方法(即Reichstein、ANN、连续的测量、同位素分析),从而最大限度地减少与夜间湍流、复杂盖度和异质景观有关的误差。 由于数据和模型的不确定性,我们评估了每种方法的不确定性。 最后,我们通过采用生物物理模型CANVEG来预测冠层尺度的参数,改进了以前的同位素分配方法。
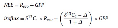
二、研究方法—Reco与GPP区分理论


冠层尺度:


观测对象
涡度协方差和气象测量:净辐射、光合有效辐射、冠层上方的空气温度、土壤热通量、相对湿度、叶面积指数、CO2、H2O、13CO2;
土壤呼吸测量:3套连续观测系统同步观测;


不确定性分析
使用三种同位素分割方法中每一种方法对NEE进行分割,以获得每个时间点(n = 1000)的GPP和Reco范围。通过 GPP和Reco值的差异计算90%置信区间。

三、研究结果
总体而言,CANVEG在模拟和观察NEE中表现出良好的一致性。其中,累积CANVEG NEE高估观测到的5%、累积H高估30%、累积LE高估9%之间。

基于分区的分割方法,每个分割法90%置信区间的数据和模型不确定性与Rsoil测量允许识别的时段是不一致的;
晚上CANVEG-Gs-Ci、CANVEG-Gs、PM-Gc、ANN、Reichstein的Reco重叠,平均高于Rsoil测量值;
白天CANVEG-Gs-Ci,CANVEG-Gs 、 PM-Gc分割的GPP的量级较低;

使用普通最小二乘回归法评估分割对LUE和APAR之间关系的影响。 结果表明,所有同位素分割方法在LUE和APAR之间显示出显着的负相关,而标准分割方法 LUE和APAR之间没有关系。
白天CANVEG-Gs-Ci,CANVEG-Gs 、 PM-Gc分割的GPP的量级较低;
长期数据分析表明,在收获期间,Reco和Rsoil的估计存在差异;
ANN和Reichstein方法都预测在收获后的Reco相对较高;
Rsoil测量结果显示,在收获期间,Rsoil减少;

结论
在理想条件下,我们采用了一种分割方法的集合来更好地约束NEE通量中GPP和Reco分配的不确定性。
CCIA-48二氧化碳同位素分析仪为生态系统通量的测量提供了强大优势,并估计了13C的上游冠层入口。
同位素分配的GPP和Reco小于ANN、Reichstein分配的GPP和Reco,这与之前的研究结果相一致,
将夜间Reco关系推广到当天的标准分割方法(ANN和Reichstein)中可能高估了白天Reco,因为建模过程中忽略了植物呼吸的日间减少(Kok效应)。
【理加联合】
北京理加联合科技有限公司(简称:理加联合)成立于2005年,是一家专业的生态环境仪器供应商和技术服务商,主要产品涵盖稳定性同位素测定、痕量气体测量、地物光谱测量、水化学分析、野外便携和长期监测分析仪器。
主要代理产品
美国LGR公司激光痕量气体和稳定同位素分析仪
美国ASD公司地物光谱仪
意大利AMS集团全自动化学分析仪和流动分析仪
美国CSI公司闭路涡度相关和大气廓线测量系统
美国Resonon公司高光谱成像仪
美国ThermoFisher Scientific公司气体分析及颗粒物监测产品系列
美国Agilent公司傅里叶红外光谱仪
加拿大Itres公司高光谱成像仪
美国Labsphere公司积分球
获取最新消息,请关注:
理加联合微信公众平台:理加联合